yl7703永利

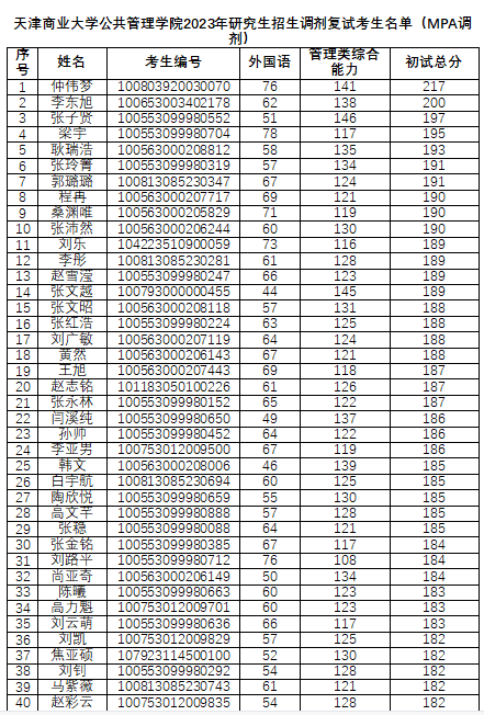
yl7703永利2023年研究生招生调剂复试考生名单(MPA调剂)

作者: 时间:2023-04-06 点击数:


Copyright © yl7703永利|官方网站 版权所有  |  地址:天津市北辰区光荣道409号 yl7703永利  | 电话: 022026667609  | 邮编:300134